Как отследить внешнюю рекламу на Wildberries и OZON. И почему падает эффективность внутренней рекламы
Внутренняя реклама на Wildberries и OZON становится дороже, под новый год ставки по многим продуктам улетят в космос, придут перекупы с демпингом, а продавать хочется много, особенно в сезон, но когда в современности нормально оформить карточки и запустить внутреннюю рекламу может каждый 2 продавец, нужно искать альтернативу. Которая называется «внешним маркетингом». Рекламных инструментов много — можете ознакомиться у меня со статьями про «посевы» или вообще «все и сразу».
226 показов 32 открытия

Запустить любую внешнюю рекламу просто, гораздо сложнее, запустить ее эффективно и при этом отследить результаты. О первом я рассказываю и в этом блоге, и в отдельном бесплатном мини курсе на YouTube для предпринимателей на маркетплейсах. О втором расскажу сейчас
Если вы продаете только для OZON
Все максимально просто, у OZON есть полноценная аналитика. Внешняя.

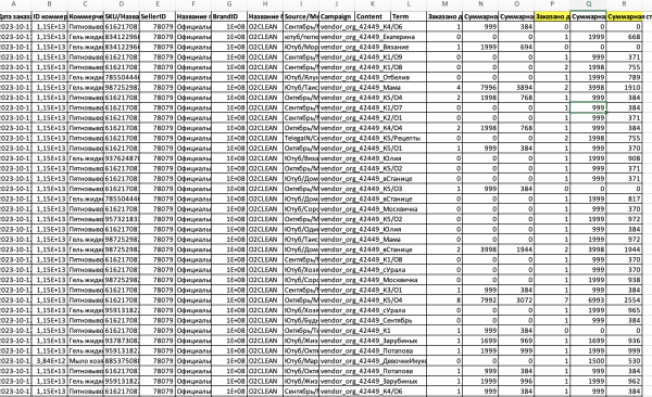
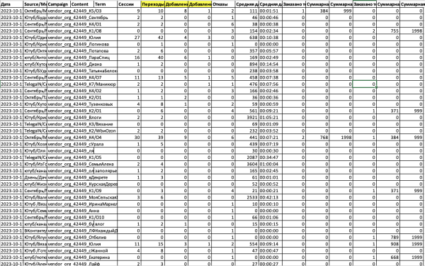
Количество заказов в самом плагине пишется неверное, качайте отчет, для точных показателей. И суммируйте.

Количество атрибуций и сессий как вы видите расходится. Чтобы корректно считать, запомните, что количество атрибуций и сумма по ним не может быть меньше сессий. Об это говорит сам OZON. Поэтому делаем формулу «Атрибуция может быть только больше или равна относительно сессий» и считаем.

В нем нам важны 3 вещи: общее количество переходов, количество добавлений в корзину и избранное. Ну и заказы. Зная этим параметры, мы без проблем можем высчитать конверсию: переход-корзина, корзина-заказ, переход-заказ (обычно 2-10%). Желательно собирать данные на объеме от 10000 переходов, чтобы они были корректные. Эти данные нам пригодятся для подсчета результатов по WB.
Также вторично по переходам и корзинам можно видеть, где слабая конверсия, почему там или там не покупают, где плохо составлено ТЗ и тд. Просто общие полезные данные для вторичного анализа.
Обязательно создавайте UTM
Чтобы видеть все данные по аналитике у себя в кабинете

У меня не только OZON, еще Wildberries
Все стало чуть сложнее. Ведь WB не считает никакие продажи и переходы, но у нас есть прошлые данные с OZON. Мы знаем конверсию из перехода в заказ на большем объеме, соотвественно плюс минус тоже самое мы можем наложить на WB.
Например, если используете автоматические площадки

Получили всего 2616 переходов. По системе аналитике на OZON, видим, что — получили 816 переходов. Соответственно 1/3 — OZON. 2/3 — WB или же 1800 переходов. Возвращаемся к конверсии, мы знаем, что по нашему продукту она 5% в продажу. Далее делим 1800/100 и умножаем на 5. Итого на WB мы получили 90 продаж.
Я запускаю рекламу у блогеров, она не пишет сколько переходов всего
Тогда мы делаем мини-лендинг и ведем через него (если нам точно нужно понимать примерную сумму, если нет, то смотрите на общий график роста по wb, любой дополнительный переход на 5-10% снижает общую конверсию)

Альтернативна
Используйте деплинги, которые делают автоматический переброс в приложение (Если вы в рекламе используете оригинальную ссылку, то перебросит и так, а современный Яндекс все деплинги съедает, это тема для отдельной статьи). Если просто — многие деплинг сервисы считают переходы за счет своей аналитики.

Рекомендовать ничего не могу, они постоянно банятся и ссылки перестают работать, отбирать нужно тщательно. Поэтому на ваш страх и риск
Купить рекламу Отключить
Хочу безопасно
Работайте с прямой аналитикой


У меня нет никаких данных, я не умею работать с аналитикой
Странно. Но такие запросы тоже приходят. В таком случае можно научиться всему этому на моем бесплатном курсе в YouTube для предпринимателей на маркетплейсах. Или:
Меряйте соотношение продаж и смотрите на общий график (о нем выше). По соотношению среднему продаж — смотрите крупных конкурентов.


Имеем конверсию в соотношение продаж примерно 1/5, в идеале посмотреть весь рынок. И видим примерный рост по общей аналитике.
Далее просто все складываем в пропорциях. Есть вопросы? Пишите в комментариях
Чем я могу быть вам полезен
Если у вас бренд, со мной можно поработать. Связаться можно через Telegram.
Мой Telegram канал, в котором в целом больше про маркетинг/кейсы/мои подкасты/инструменты и много другое. Ссылка
И да, 21 Октября выступаю спикером на Суровом Питерском СММ, приходите послушать. Всем больших продаж!
Источник: vc.ru